编辑:招生处 更新时间:2024年07月04日 访问:0
根据《教育部关于普通高中学业水平考试的实施意见》(教基二〔2014〕10号)和《云南省人民政府关于印发云南省深化普通高等学校考试招生综合改革实施方案的通知》(云政发〔2022〕37号)精神,制定本办法。
一、适用科目及实施时间
等级赋分办法适用于本省普通高中学业水平考试的思想政治、地理、化学和生物学4门选择性考试科目。从2022年秋季入学的普通高中一年级学生开始,考生根据普通高等学校招生专业选考科目指引要求和自己的兴趣特长,在上述4门科目中选择2门作为选择性考试科目,考试成绩按照等级赋分办法将原始分换算为等级分,以等级分呈现并计入其高考总成绩,每科原始分和等级分满分均为100分。
二、等级赋分方式
(一)划分等级,将原始分转换为等级。把每门选择性考试科目考生按照原始分从高到低进行排序,依据考生成绩统计分布,按一定比例将该选考科目考生划分为5个等级,每个考生按照其原始分在该选考科目考生中的排序,对应到某个等级,从而将所有考生的原始分转换成等级。
(二)等级赋分,将等级转换为等级分。设定等级分起点分、满分的分值。将考生原始分,依照等比例转换法则,分别转换到5个等级分数区间。根据转换公式计算,1分1档,得到相应科目的等级分,转换过程不会改变考生之间的原始排名顺序。
三、等级分的具体计算方法
(一)原始分转换为等级。将每个选考科目考生的原始分从高到低顺序排列,划分为A、B、C、D、E共5个等级,各等级人数所占比例分别为15%、35%、35%、13%和2%(见等级分换算对应表),从而将考生的原始分转换成等级。每个考生的等级由其在该选考科目群体的排位确定。
(二)等级转换为等级分。等级赋分以30分作为赋分起点,满分为100分。从A至E每个等级按照1分1档的分数间隔对各个等级进行赋分,将A至E等级内的考生原始成绩,依照等比例转换法则,分别转换到100~86分、85~71分、70~56分、55~41分、40~30分5个等级分数区间(见等级分换算对应表)。每门选考科目等级分的转换基数为实际参加该选考科目考试并取得有效成绩(即缺考或0分考生除外)的人数。根据转换公式,四舍五入得到考生的等级分。转换后的等级分1分1档,考生排序不变。
1.等级换算对应关系。各等级及其所占人数比例、等级分赋分区间对应关系如表所示。
等级分换算对应表

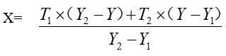
2.等级分换算公式。根据等比例转换法则计算每个考生等级分的公式为:

其中,Y1、Y2分别表示某等级原始分数区间的最低分和最高分;
T1、T2分别表示相应等级的赋分区间的最低分和最高分;
Y表示考生的原始成绩;
X表示考生转换后的等级分。

考生原始成绩正好为原始分数区间最高分或最低分时,不需要按转换公式计算,相应赋分区间的最高分或最低分即为该考生的等级成绩。在考生原始分数转换成等级分的过程中,考生在相应选考科目考生群体中的排序不会发生变化。
(三)成绩呈现及使用
选择性考试成绩当年高考录取有效。其中首选科目物理或历史成绩以原始分呈现,计入高等学校招生录取总成绩;再选科目成绩以等级分呈现(等级分计算结果按“四舍五入”的规则以整数呈现),计入高等学校招生录取总成绩。
(四)示例说明
考生A在高考中政治原始成绩为85分,在所有选考政治的考生中排名前10%。根据等级分换算对应表,该成绩属A等级,赋分区间为100~86分。根据当年高考考生原始成绩的分布,政治科目A等级的实际分数区间为98~83分(实际以当年成绩分布情况为准),按赋分公式转换后,考生A的等级分为88分,最终以88分计入其高考总成绩。

X≈87.87,经四舍五入后得到最终转换成绩为88分。
三审三校:阙宏彬 / 阮红明 / 王丹